The mechanic
Registered
Hello everyone,
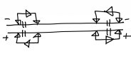
As part of my new garden layout I have laid an LGB rad3 circle with six points, to form a double return loop. I.e. A loop which allows reversing from each end (the diagram in the picture attached explains more clearly)
I run analogue DC via an Arisocraft train engineer (G scale version)
I would like to use LGB 1015T and 1015K track units to provide a one-way system around the loop. The problem is, I don't really know where to put each track unit (T or K). All of the wiring diagrams I have found, only show wiring for a single-entry loop.
Could some kind knowledgeable person please indicate on my drawing where to put the units to enable analogue operation? I would be most grateful
Thanks in advance
Dave
As part of my new garden layout I have laid an LGB rad3 circle with six points, to form a double return loop. I.e. A loop which allows reversing from each end (the diagram in the picture attached explains more clearly)
I run analogue DC via an Arisocraft train engineer (G scale version)
I would like to use LGB 1015T and 1015K track units to provide a one-way system around the loop. The problem is, I don't really know where to put each track unit (T or K). All of the wiring diagrams I have found, only show wiring for a single-entry loop.
Could some kind knowledgeable person please indicate on my drawing where to put the units to enable analogue operation? I would be most grateful
Thanks in advance
Dave




